Understanding our data foraging instincts can help researchers overcome resistance to statistical tools
Statistics has a people problem. And those people are scientists. Despite all the success that statistical design of experiments (DOE)...
Statistics has a people problem. And those people are scientists. Despite all the success that statistical design of experiments (DOE)...
MEDIA, Pa. – Eshani Lee joined Penn State Brandywine as an associate professor of chemistry in August. She received her...
At the University of Liverpool, the Materials Innovation Factory (MIF) is transforming the way science happens. By harnessing NVIDIA technologies,...
As universities navigate financial pressures, like all subjects, chemistry is facing up to change and uncertainty. At the RSC, we...
Dr. Jakoah Brgoch, professor of chemistry and chemical engineering at the University of Houston. Dr. Jakoah Brgoch, Eby Nell McElrath...
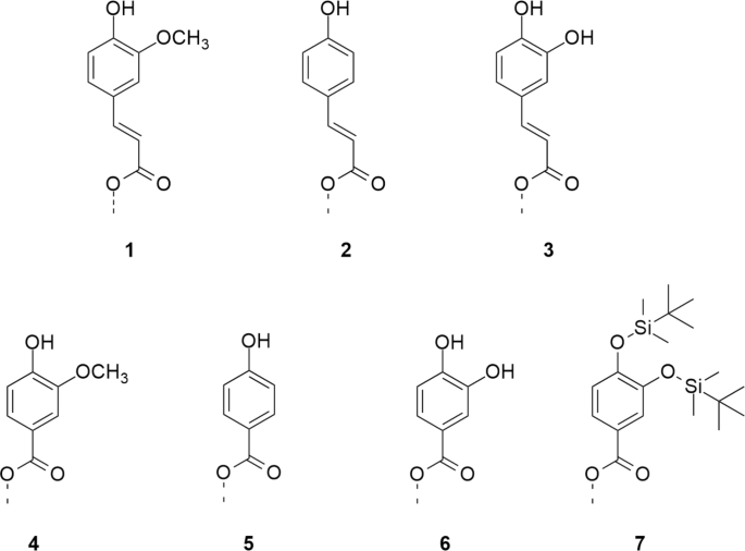
Silylation of phenolic acid esters of celluloseFor preparation of cellulosic thin films by spin coating, soluble polymers are essential. In...